欢迎您访问欢迎来到沄森网,沄森智能旗下资讯平台!今天是:2026年03月27日 星期五 农历:丙午(马)年-二月-初九
您现在的位置是:首页 > AI

中国农业大学工学院与清华大学等机构联合研究成果:智能汽车信息物理系统下信号交叉口排队消散时间预测

沄森™2026-03-27
  《汽车工程》2026年第2期发表了中国农业大学工学院与清华大学智能绿色车辆与交通全国重点实验室等机构联合研究成果

  《汽车工程》2026年第2期发表了中国农业大学工学院与清华大学智能绿色车辆与交通全国重点实验室等机构联合研究成果"智能汽车信息物理系统下信号交叉口排队消散时间预测"一文。围绕绿波通行效率提升这一智能交通核心需求,针对信号交叉口排队消散时间预测中存在的动态复杂性与模式异质性难题,系统构建了融合模式识别与堆叠泛化的高精度预测模型。针对现有研究多依赖单一变量或同质性假设、难以充分利用智能汽车信息物理系统(IVCPS)多源感知优势的现状,文章从信息物理系统跨层协同视角出发,提出"模式识别—参数匹配—集成预测"的分层建模框架,为动态信号配时与绿波车速规划提供可靠的预测支撑。

  一、研究背景

  绿波通行效率高度依赖于交叉口排队消散时间的精准预测,而该过程具有动态复杂性与模式异质性。预测失准会导致车辆提前到达队尾、被迫减速甚至停车,从而降低通行效率并增加能耗。智能汽车信息物理系统(IVCPS)具备多源交通感知与实时计算能力,为在信息空间中构建高精度预测模型提供了条件。然而,现有排队消散预测方法普遍受限于输入变量不足和同质性假设,难以充分发挥IVCPS的潜在优势。基于此,文章从IVCPS架构下的信息空间基础层部署视角出发,提出融合模式识别与堆叠泛化的排队消散时间预测模型PRISM,为绿波车速引导与信号配时优化等应用层功能提供高精度输入。

  二、研究内容

  1. IVCPS跨层预测框架构建:针对排队消散时间预测与IVCPS架构的融合需求,设计了嵌入信息空间基础层的PRISM模型框架,形成"物理空间多源感知—信息空间模式识别与集成预测—应用层绿波车速引导"的闭环流程,实现感知、识别、预测、控制的全链路协同。

  图1 IVCPS下的排队消散时间预测

  2. 多源数据清洗与排队模式识别:针对原始交通数据质量参差及排队消散过程异质性显著的问题,基于天津市真实数据集建立个性化IQR清洗策略,并采用KPCA非线性降维与K-means聚类识别4类典型排队模式,将复杂的全局预测任务分解为若干同质的局部子任务。

  图2 PRISM模型构建流程

  3. 异构学习器集成与参数优化:针对单一模型难以兼顾多模式预测精度的问题,构建由XGBoost、GBDT、SVR等异构学习器组成的双层堆叠泛化模型,通过贝叶斯优化为不同排队模式匹配最优超参数组合,充分发挥各基学习器在不同模式下的互补优势。

  图3 信息空间基础层的排队消散时间预测模型

  4. 元学习融合与模型训练:针对基学习器预测结果融合优化的需求,设计基于5折交叉验证的stacking训练流程,以决策树作为元学习器对第一层异构学习器的预测结果进行自适应加权融合,在兼顾预测精度的同时增强模型泛化能力。

  图4 stacking预测模型训练流程

  三、研究结果

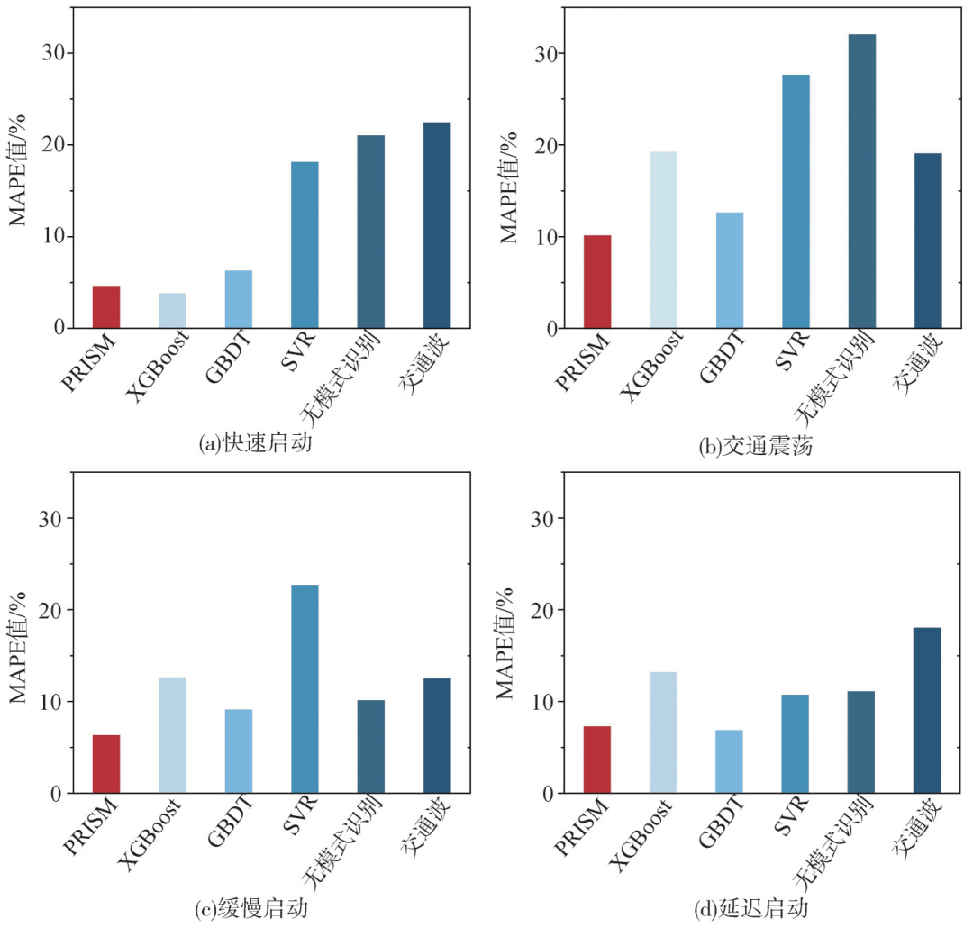
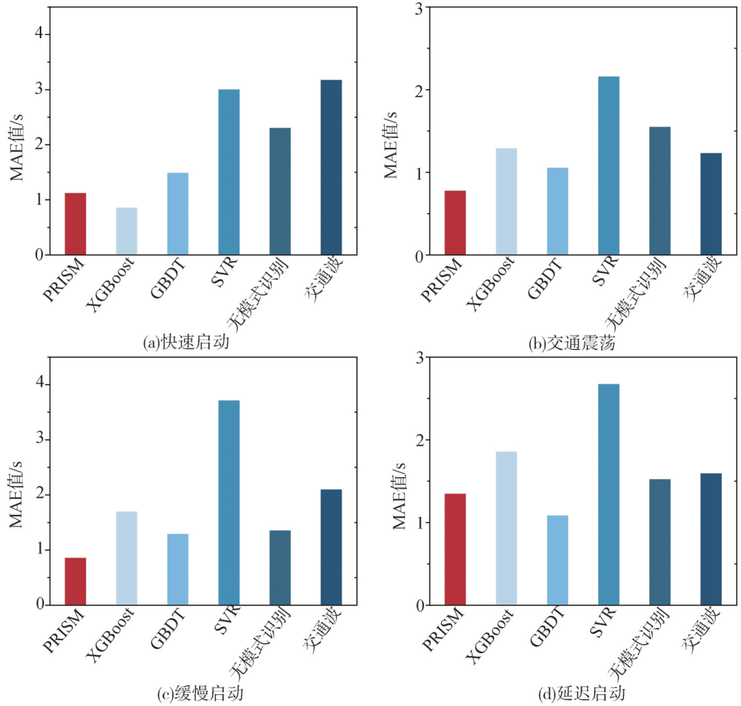
  1. 在天津市4个真实信号交叉口的验证集上进行测试,PRISM模型的总体平均绝对百分比误差(MAPE)为7.82%,平均绝对误差(MAE)为1.00s,单样本预测耗时平均为3.6ms,满足实时性要求。

  图5 验证集中各模型预测结果的MAPE值

  图6 验证集中各模型预测结果的MAE值

  2. 识别出4类典型排队消散模式:快速启动模式(占32%)、交通震荡模式(占28%)、缓慢启动模式(占25%)和延迟启动模式(占15%),各类模式下的MAPE值均在11%以内,展现出优异的泛化性能。

  图7 数据集聚类结果

  3. 与单一学习器(XGBoost、GBDT、SVR)、未进行模式识别的stacking模型以及传统交通波方法相比,PRISM的预测精度分别提升3.89%、1.20%、13.23%、9.74%与9.26%,验证了模式识别与参数匹配策略的有效性。

  4. 模型在各路口及验证集整体的预测精度均优于对照模型,其中在路口2的MAPE最低(5.82%),MAE仅为0.95s,表明该方法能够适应不同区段的交通特性。

  表1 验证集中各路口各模型下预测结果的MAPE值

  表2 验证集中各路口各模型下预测结果的MAE值

  5. 单样本预测峰值耗时均未超过5ms,验证了所提模型在IVCPS环境下实时部署的可行性,能够为动态信号配时与绿波车速引导提供可靠的毫秒级预测支持。

  四、创新点与意义

  文章从IVCPS跨层协同视角出发,将模式识别与堆叠泛化方法相结合,突破了传统预测模型依赖同质性假设的局限,系统揭示了排队消散过程的异质性特征与针对性建模策略。通过结构化刻画"模式识别—参数匹配—集成预测"的分层处理流程,形成了可复用的信息空间基础层建模框架,为理解IVCPS架构下的交通预测机理提供了整体认知基础。该方法不仅有效解决了传统单一模型难以适应交通异质性的难题,也充分发挥了IVCPS物理层多源感知与信息层计算融合的优势,为城市信号交叉口智能化管控与绿波通行优化提供了具有参考价值的方法论支撑。

所有文章未经授权禁止转载、摘编、复制或建立镜像,违规转载法律必究。

举报邮箱:1002263188@qq.com

相关标签: